- Contact Us
- Help by E-MAIL
- COPYRIGHT ©2023CVASC, ALL RIGHTS RESERVED
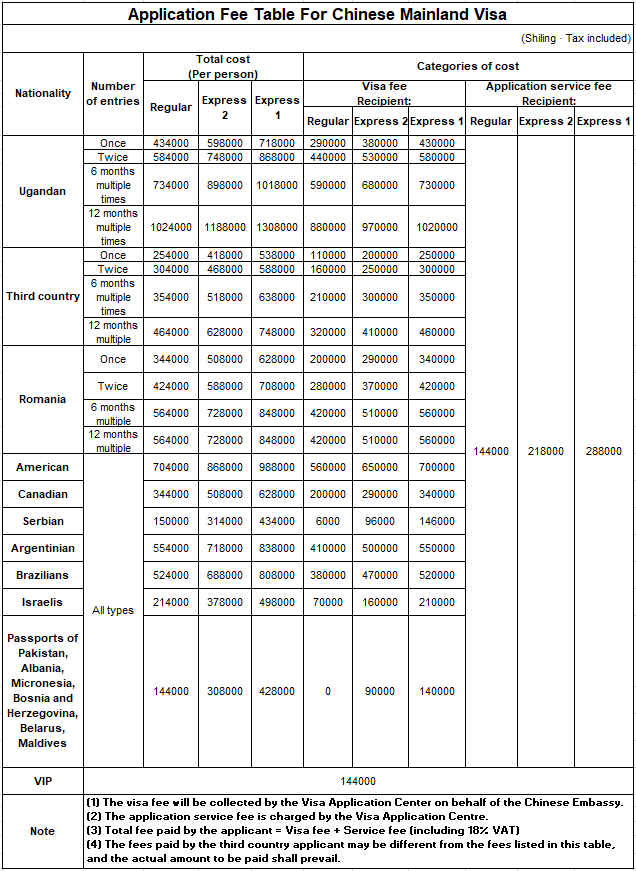
Visa Fees
1. Payment methods: Visa Centre accepts payment by Flexipay.
All applicants need to make the payment of all fees when lodging visa application at Kampala Visa Centre. Fees will not be refunded even if the visa application is declined or refused by the Chinese Embassy.
2. Schedule of fees
